作者:dajiang 添加時間:2018-08-07 08:47:26 瀏覽:
混流泵的揚程是指水泵能夠揚水的高度,通常以符號H來表示,其單位為米。混流泵的揚程以葉輪中心線為基準,分由兩部分組成。從水泵葉輪中心線至水源水面的垂直高度,即水泵能把水吸上來的高度,叫做吸水揚程,簡稱吸程;從水泵葉輪中心線至出水池水面的垂直高度,即水泵能把水壓上去的高度,叫做壓水揚程,簡稱壓程。

如混流泵裝置示意圖所示,水泵從下容器向上容器供水,試用下面兩組參數分別表示水泵的揚程。
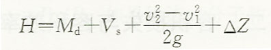
(1)水泵出口法蘭處壓力計讀數Md(m),水泵進口法蘭處真空表讀數Vs(m),表距AZ(m),水泵進出口法蘭處速度%、t;2(m/s);
(2)壓力p。、pt(N/m2),幾何高度汗、H2、AZ(m),進水管路和出水管路的水頭損失hi、A2(m);
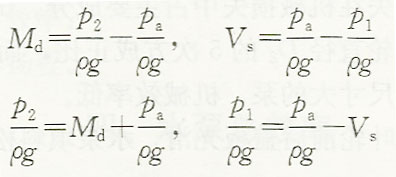
【解】令水泵進出口處的壓力和大氣壓分別為p1、p2和p3,單位為Pa。



上一篇:做好混流泵的檢查與保養工作
下一篇:軸流泵在日常維護的時候應該注意什么呢?